| Sign In | Join Free | My tjskl.org.cn |
|
Brand Name : Suzhou Desisen (DSS) Electronics
Place of Origin : China
MOQ : 1
Price : USD $19400
Certification : ISO 9001, CE
Payment Terms : T/T
Supply Ability : 10 sets
Delivery Time : 2-3 weeks
Packaging Details : wooden case
Operating Frequency : >15HMz Dependent on the in-line production
Flaw Detection Capability : Detects internal and surface defects
Detection Method : Immersion Ultrasonic Testing with A-scan probes
Software : Included
Application : copper strip, plate, flat shape
Probe Type : Contact or immersion
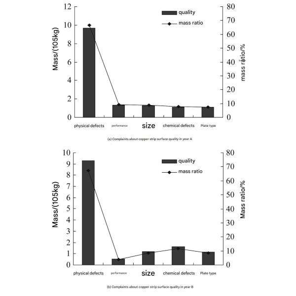
According to Zhang and Zheng (2016), surface defects account for 79.2% of quality complaints in precision copper strips, with physical defects contributing 67.4%. One manufacturer reported a 5.44% scrap rate, costing millions annually.

The consequences are severe: pinholes degrade conductivity in electronics, cracks in automotive heat sinks risk thermal runaway, and for IC lead frames (C19400 strips), internal stress-induced warping or poor surface adhesion disrupts chip integration. A semiconductor client rejected entire batches due to etching defects, resulting in contractual penalties and delayed deliveries.
These quality issues aren't new to the copper strip industry. To transform high-complaint operations into no-complaint manufacturing, we focus on prevention at the source: copper billet inspection before strip formation. By eliminating physical defects in raw materials, we dramatically reduce downstream defect rates.
Our core system is a sophisticated mobile scanning platform featuring a powerful 6-probe A-scan ultrasonic configuration. This multi-probe setup ensures rapid, comprehensive coverage with detailed inspections across the entire billet surface. The water-immersed ultrasonic transducers identify internal defects by detecting prominent waveform changes caused by wave reflection differences.



"Our clients come to us with unique inspection needs that standard equipment cannot solve," states a Desisen technical lead. "Our strength lies in our ability to listen, engineer, and build a truly custom IUT machine that fits their workpiece and workflow perfectly. We provide not just a product, but a partnership in quality."
From aerospace-grade aluminum plates to high-purity copper strips, Desisen's highly customizable IUT systems deliver the confidence and precision required in today's competitive manufacturing environment.
Support and Services:
We provide technical support and service to ensure our customers are satisfied with their Portable Eddy Current Flaw Detector. We offer both on-site and online support for all of our products.
Our on-site support team is available to help with any installation, troubleshooting, or maintenance related issues you may have with your Portable Eddy Current Flaw Detector. Our technicians can come to your location and help with any questions or problems you may have.
Our online support team is available 24/7 to help with any questions or issues you may have with your Portable Eddy Current Flaw Detector. We have a live chat feature on our website, as well as an online ticket system for more in-depth issues. Our team is always available to help.

During the rolling process, the surface of a Copper Strip Billet may have minor roughness, oxidation layers, or unevenness. With traditional contact testing (where the probe touches the part directly), these microscopic air gaps would severely disrupt the ultrasonic signal, causing significant noise and erroneous readings. By immersing the billet in water, the fluid fills every micro-gap, ensuring that the ultrasonic energy is transmitted into the copper stably and uniformly. This results in a clean, reliable, and repeatable inspection signal.
In a in-line inspection environment, direct contact would cause rapid wear on both the transducer and the billet surface. This is not only costly but also leads to constantly changing test sensitivity as the probe degrades. Immersion UT is a non-contact method. The transducer maintains a fixed distance from the workpiece while moving through the water, eliminating wear and tear and ensuring high consistency throughout the entire inspection process.
Higher resolution, higher sensitivity
Immersion testing readily allows for the use of focused transducers. These probes act like a magnifying glass, concentrating the ultrasonic energy at a specific depth within the copper billet. This dramatically increases the sensitivity and resolution of the inspection, enabling the precise detection of minute internal defects such as inclusions, porosity, and micro-cracks—all of which are critical-to-quality control points for producing high-grade copper strips.

A1: The brand name of this product is Desisen.
A2: This product is made in China.
A3: Yes, this product has ISO9001 certification.
A4: The minimum order quantity is 1.



Reference:
|
|
Copper Billet Flaw Detector In-line Automated Immersion Ultrasonic Inspection Images |